JEE Advanced 2018 Paper II
Q. 1 A particle of mass ݉ is initially at rest at the origin. It is subjected to a force and starts moving along the x-axis. Its kinetic energy K changes with time as dK/dt = γ , where γ is a positive constant of appropriate dimensions. Which of the following statements is (are) true?
A. The force applied on the particle is constant
B. The speed of the particle is proportional to time
C. The distance of the particle from the origin increases linearly with time
D. The force is conservative
Q. 2 Consider a thin square plate floating on a viscous liquid in a large tank. The height ݄h of the liquid in the tank is much less than the width of the tank. The floating plate is pulled horizontally with a constant velocity u₀ .Which of the following statements is (are) true?
A. The resistive force of liquid on the plate is inversely proportional to ݄h
B. The resistive force of liquid on the plate is independent of the area of the plate
C. The tangential (shear) stress on the floor of the tank increases with u₀
D. The tangential (shear) stress on the plate varies linearly with the viscosity η of the
liquid
Q. 3 An infinitely long thin non-conducting wire is parallel to the z-axis and carries a uniform line charge density λ. It pierces a thin non-conducting spherical shell of radius ܴ in such a way that the arc ܼܳܿPQ subtends an angle of 120° at the centre ܱO of the spherical shell, as shown in the figure. The permittivity of free space is ∈₀. Which of the following statements is (are) true?
A. The electric flux through the shell is √3 Rλ⁄ε₀
B. The Z- component of the electric field is zero at all the points on the surface of the
shell
C. The electric flux through the shell is √2 Rλ⁄ε₀
D. The electric field is normal to the surface of the shell at all points
Q. 4 A wire is bent in the shape of a right angled triangle and is placed in front of a concave mirror of focal length ݂, as shown in the figure. Which of the figures shown in the four options qualitatively represent(s) the shape of the image of the bent wire? (These figures are not to scale.)
A. A
B. B
C. C
D. D
Q. 5 In a radioactive decay chain, ²³²₉₀Th nucleus decays to ²¹²₈₂Pb nucleus. Let ܰNα and ܰNβ be the number of α and β⁻ particles, respectively, emitted in this decay process. Which of the following statements is (are) true?
A. N(α) = 5
B. N(α) = 6
C. N(β) = 2
D. N(β) = 4
Q. 6 In an experiment to measure the speed of sound by a resonating air column, a tuning fork of frequency 500 Hz is used. The length of the air column is varied by changing the level of water in the resonance tube.Two successive resonances are heard at air columns of length 50.7݉ܿ cm and 83.9݉ܿ cm . Which of the following statements is (are) true?
A. The speed of sound determined from this experiment is 332 ݉m/s⁻¹
B. The end correction in this experiment is 0.9 ݉ܿcm
C. The wavelength of the sound wave is 66.4 ݉ܿcm
D. The resonance at 50.7݉ܿ cm corresponds to the fundamental harmonic
Q. 7 A solid horizontal surface is covered with a thin layer of oil. A rectangular block of mass m = 0.4kg ݇i݃ s at rest on this surface. An impulse of 1.0 N is applied to the block at time t= 0 so that it starts moving along the x- axis with a velocity v(t) = v₀e⁻ᵗ/ᵀ, where v₀ is a constant and τ = 4s.The displacement of the block, in ݁݉meters t = τ is_________.
Take e⁻¹ = 0.37
Q. 8 A ball is projected from the ground at an angle of 45° with the horizontal surface. It reaches a maximum height of 120 m and returns to the ground. Upon hitting the ground for the first time, it loses half of its kinetic energy. Immediately after the bounce, the velocity of the ball makes an angle of 30° with the horizontal surface. The maximum height it reaches after the bounce, in meters ,is
Q. 9 A particle, of mass 10⁻³ kg and charge 1.0 C ,is initially at rest. At time t=0, the particle comes under the influence of an electric field E̅=E₀sin ωtî, where Eₒ=1.0 N/C⁻¹ and ω=10³rad/s⁻¹. Consider the effect of only the electrical force on the particle. Then the maximum speed, in ݉m/s⁻¹ , attained by the particle at subsequent times is
Q. 10 A moving coil galvanometer has 50 turns and each turn has an area 2 x 10⁻⁴ m². The magnetic field produced by the magnet inside the galvanometer is 0.02 T. The torsional constant of the suspension wire is 10⁻⁴ N m rad⁻¹. When a current flows through the galvanometer, a full scale deflection occurs if the coil rotates by 0.2 rad.݀ The resistance of the coil of the galvanometer is 50 Ω .This galvanometer is to be converted into an ammeter capable of measuring current in the range 0 – 1.0A .For this purpose, a shunt resistance is to be added in parallel to the galvanometer. The value of this shunt resistance, in Ω ,is __________.
Q. 11 A steel wire of diameter 0.5 ݉mm and Young’s modulus 2 x 10⁻¹¹ N m⁻² carries a load of mass ܯ .The length of the wire with the load is 1.0 ݉m A vernier scale with 10 divisions is attached to the end of this wire. Next to the steel wire is a reference wire to which a main scale, of least count 1.0 mm is attached. The 10 divisions of the vernier scale correspond to 9 divisions of the main scale. Initially, the zero of vernier scale coincides with the zero of main scale. If the load on the steel wire is increased by 1.2 ݇kg, the vernier scale division which coincides with a main scale division is __________. Take g = 10 ms⁻² and π = 3.2
Q. 12 One mole of a monatomic ideal gas undergoes an adiabatic expansion in which its volume becomes eight times its initial value. If the initial temperature of the gas is 100 K and the universal gas constant 8.0 J/mol⁻¹ K⁻¹, the decrease in its internal energy, in joule is__________.
Q. 13 In a photoelectric experiment a parallel beam of monochromatic light with power of 200 ܹ is incident on a perfectly absorbing cathode of work function 6.25 ܸ݁eV The frequency of light is just above the threshold frequency so that the photoelectrons are emitted with negligible kinetic energy. Assume that the photoelectron emission efficiency is 100%. A potential difference of 500 V is applied between the cathode and the anode. All the emitted electrons are incident normally on the anode and are absorbed. The anode experiences a force F= n x 10 N⁻⁴ due to the impact of the electrons. The value of ݊ is __________.Mass of the electron ݉9 x 10⁻³¹ kg and 1.0 eV = 1.6 x 10⁻¹⁹ J
Q. 14 Consider a hydrogen-like ionized atom with atomic number ܼ with a single electron. In the emission spectrum of this atom, the photon emitted in the n = 2 to n =1 transition has energy 74.8 eV higher than the photon emitted in the n = 3 to n = 2 transition. The ionization energy of the hydrogen atom is 13.6 ܸ݁eV The value of Z ܼ is __________
Q. 15 The electric field E is measured at a point ܼܿ(0, 0, ݀d) generated due to various charge distributions and the dependence of E on ݀d is found to be different for different charge distributions. List-I contains different relations between E and ݀d List-II describes different electric charge distributions, along with their locations. Match the functions in List-I with the related charge distributions in List-II.
A. A
B. B
C. C
D. D
Q. 16 A planet of mass M ,has two natural satellites with masses ݉m₁ and ݉m₂. The radii of their circular orbits are ܴR₁ and ܴR₂ respectively. Ignore the gravitational force between the satellites. Define v₁ , L₁ , K₁ and T₁ to be, respectively, the orbital speed, angular momentum, kinetic energy and time period of revolution of satellite 1; and v₂ , L₂ , K₂ and ܶT₂ to be the corresponding quantities of satellite 2. Given ݉m₁/m₂ = 2 and ܴR₁/R₂ = 1/4, match the ratios in List-I to the numbers in List-II.
A. A
B. B
C. C
D. D
Q. 17 One mole of a monatomic ideal gas undergoes four thermodynamic processes as shown schematically in the ܸܿPܼ V-diagram below. Among these four processes, one is isobaric, one is isochoric, one is isothermal and one is adiabatic. Match the processes mentioned in List-1 with the corresponding statements in List-II.
A. A
B. B
C. C
D. D
Q. 18 In the List-I below, four different paths of a particle are given as functions of time. In these functions, α and β are positive constants of appropriate dimensions and α ≠ β .In each case, the force acting on the particle is either zero or conservative. In List-II, five physical quantities of the particle are mentioned: p̅ is the linear momentum,L is the angular momentum about the origin, K is the kinetic energy, ܷU is the potential energy and E is the total energy. Match each path in List-I with those quantities in List-II, which are conserved for that path.
A. A
B. B
C. C
D. D
Q. 19 The correct option(s) regarding the complex [Co(en)(NH₃)₃(H₂O)]³⁺ (en = H₂NCH₂CH₂NH₂) is (are)
A. It has two geometrical isomers
B. It will have three geometrical isomers if bidentate ‘en’ is replaced be two cyanide
ligands.
C. It is paramagnetic
D. It absorbs light at longer wavelength as compared to [Co(en)(NH₃)₄]³⁺
Q. 20 The correct option(s) to distinguish nitrate salts of Mn⁺² and Cu⁺² taken separately is (are)
A. Mn⁺² shows the characteristic green colour in the flame test
B. Only Cu⁺² shows the formation of precipitate by passing H₂S in acidic medium
C. Only Mn⁺² shows the formation of precipitate by passing H₂S in faintly basic medium
D. Cu⁺²/Cu has higher reduction potential than Mn⁺²/Mn (measured under similar
conditions)
Q. 21 Aniline reacts with mixed acid (conc. HNO₃ and conc. H₂SO₄) at 288 K to give P (51 %), Q (47%) and R (2%). The major product(s) of the following reaction sequence is (are)
A. A
B. B
C. C
D. D
Q. 22 The Fischer presentation of D-glucose is given below. The correct structure(s) of β-
Lglucopyranose is (are)
A. A
B. B
C. C
D. D
Q. 23 For a first order reaction A(g) → 2B(g) + C(g) at constant volume and 300 K, the total pressure at the beginning (u=0) and at time u are ܼܿP₀ and ܼܿPᵤ, respectively. Initially, only A is present with concentration [A]₀, and t₁/₃ is the time required for the partial pressure of A to reach 1/3rd of its initial value. The correct option(s) is (are) (Assume that all these gases behave as ideal gases)
A. A
B. B
C. C
D. D
Q. 24 For a reaction, A ⇌ P the plots of [A] and [P] with time at temperatures T₁ and T₂ are given below.
If ܶT₂ > ܶT₁ , the correct statement(s) is (are)
A. A
B. B
C. C
D. D
Q. 25 The total number of compounds having at least one bridging oxo group among the molecules given below is ____.
N₂O₃, N₂O₅, P₄O₆, P₄O₇, H₄P₂O₅, H₅P₃O₁₀, H₂S₂O₃, H₂S₂O₅
Q. 26 Galena (an ore) is partially oxidized by passing air through it at high temperature. After some time, the passage of air is stopped, but the heating is continued in a closed furnace such that the contents undergo self-reduction. The weight (in kg) of Pb produced per kg of O2 consumed is ____.
(Atomic weights in g/mol: O = 16, S = 32, Pb = 207)
Q. 27 To measure the quantity of MnCl₂ dissolved in an aqueous solution, it was completely converted to KMnO₄ using the reaction, MnCl₂ + K₂S₂O₈ + H₂O —> KMnO₄ + H₂SO₄ + HCl (equation not balanced). Few drops of concentrated HCl were added to this solution and gently warmed. Further, oxalic acid (225 mg) was added in portions till the colour of the permanganate ion disappeared. The quantity of MnCl₂ (in mg) present in the initial solution is ____.
(Atomic weights in g/mol: Mn = 55, Cl = 35.5)
Q. 28 For the given compound X, the total number of optically active stereoisomers is ____.
Q. 29 In the following reaction sequence, the amount of D (in g) formed from 10 moles of acetophenone is ____.
(Atomic weights in g/mol : H = 1, C = 12, N = 14, O = 16, Br = 80. The yield (%)
corresponding to the product in each step is given in the parenthesis)
Q. 30 The surface of copper gets tarnished by the formation of copper oxide. N₂ gas was passed to prevent the oxide formation during heating of copper at 1250 K. However, the N₂ gas contains 1 mole % of water vapour as impurity. The water vapour oxidises copper as per the reaction given below: 2Cu(s) + H₂O(g) —> Cu₂O(s) + H₂(g), pH₂ is the minimum partial pressure of H₂ (in bar) needed to prevent the oxidation at 1250 K. The value of pH₂ is ____.
(Given: total pressure = 1 bar, R (universal gas constant) = 8 J /K.mol , ln(10) = 2.3. Cu(s) and Cu₂O(s) are mutually immiscible.
Q. 31 Consider the following reversible reaction,
A(g) + B(g) ⇌ AB(g).
The activation energy of the backward reaction exceeds that of the forward reaction by 2ܴܶ ( in J/mol⁻¹ ). If the pre-exponential factor of the forward reaction is 4 times that of the reverse reaction, the absolute value of ΔGθ ( in J/mol⁻¹ ) for the reaction at 300 K is ____. (Given; ln(2) = 0.7, ܴܶ = 2500 J/mol⁻¹ at 300 K and G is the Gibbs energy)
Q. 32 Consider an electrochemical cell: A(s) | Aⁿ⁺ (aq, 2 M) || B²ⁿ⁺ (aq, 1 M) | B(s). The value of ΔH^Ɵ for the cell reaction is twice that of ΔG^Ɵ at 300 K. If the emf of the cell is zero, the ΔS^Ɵ (in J/K.mol⁻¹) of the cell reaction per mole of B formed at 300 K is ____.
(Given: ln(2) = 0.7, ܴ (universal gas constant) = 8.3 J/K⁻¹mol⁻¹. H, S and G are enthalpy,
entropy and Gibbs energy, respectively.)
Q. 33 Match each set of hybrid orbitals from LIST–I with complex(es) given in LIST–II.
A. A
B. B
C. C
D. D
Q. 34 The desired product X can be prepared by reacting the major product of the reactions in LIST-I with one or more appropriate reagents in LIST-II.
(given, order of migratory aptitude: aryl > alkyl > hydrogen)
A. A
B. B
C. C
D. D
Q. 35 LIST-I contains reactions and LIST-II contains major products.
A. A
B. B
C. C
D. D
Q. 36 Dilution processes of different aqueous solutions, with water, are given in LIST-I. The effects of dilution of the solutions on [H⁺] are given in LIST-II. (Note: Degree of dissociation (α) of weak acid and weak base is << 1; degree of hydrolysis of salt <<1; [H⁺] represents the concentration of H⁺ ions)
A. A
B. B
C. C
D. D
Q. 37 For any positive integer ݊, define ݂f (n): (0, ∞) → R as Here, the inverse trigonometric function tan x assumes values in (-π/2, π/2)
Then, which of the following statement(s) is (are) TRUE?
A. A
B. B
C. C
D. D
Q. 38 Let ܶ be the line passing through the points ܼܿP(-2, 7) and ܳQ(2, -5). Let F be the set of all pairs of circles (S₁,S₂) such that ܶ is tangent to T at ܼܿ and tangent to ܵS₁ at P ܳ, and also such that ܵS₂ and ܵQ touch each other at a point, say, M .Let E₁ be the set representing the locus of M as the pair (S₁,S₂) varies in F₁. Let the set of all straight line segments joining a pair of distinct points of E₁ and passing through the point ܴR (1, 1) be F₂ Let E₂ be the set of the mid-points of the line segments in the set F₂ Then, which of the following statement(s) is (are) TRUE?
A. The point (-2,7) lies in E₁
B. The point (4/5,7/5) does not lie in E₂
C. The point (1/2, 1) lie in E₂
D. The point (0,3/2) does not lie in E₂
Q. 39 Find the equation
A. A
B. B
C. C
D. D
Q. 40 Consider two straight lines, each of which is tangent to both the circle x² + y² = 1/2 and the parabola y² = 4x. Let these lines intersect at the point Q ܳ. Consider the ellipse whose center is at the origin ܱ(0,0) and whose semi-major axis is OQ ܱܳ. If the length of the minor axis of this ellipse is √2 , then which of the following statement(s) is (are) TRUE?
A. (A) For the ellipse, the eccentricity is 1/√2 and the length of the latus rectum is 1
B. (B) For the ellipse, the eccentricity is 1/2 and the length of the latus rectum is 1/2
C. (C) The area of the region bounded by the ellipse between the lines x = 1/√2 and x = 1 is 1/4√2. (π-2)
D. (D) The area of the region bounded by the ellipse between the lines x = 1/√2 and x = 1 is 1/16 . (π-2)
Q. 41 Let s,t,r be non-zero complex numbers and L be the set of solutions z = xi + y where, x,y∈ R, ݅i =√-1 of the equation sz + tz̅+r = 0, where z̅ = x – iy .Then, which of the following statement(s) is (are) TRUE?
A. If L has exactly one element, then |sI ≠ ItI
B. If |sI = ItI then L has infinitely many elements
C. The number of elements in L ∩ {z : I z-i+1I = 5} is at most 2
D. If L has more than one element, then L has infinitely many elements
Q. 42 Let ݂f : (0,π) → R be a twice differentiable function such that
A. A
B. B
C. C
D. D
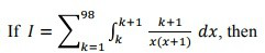
Q. 43 The value of the integral is_____________
Q. 44 Let ܼܿ be a matrix of order 3 x 3 such that all the entries in P are from the set {-1, 0, 1}. Then, the maximum possible value of the determinant of ܼܿP is _____ .
Q. 45 Let ܺX be a set with exactly 5 elements and ܻ be a set Y with exactly 7 elements. If α is the number of one-one functions from ܺX to Y ܻand β is the number of onto functions from ܻ to ܺ, then the value of 1/5!(β-α) is _____ .
Q. 46 Let ݂f: R—> R be a differentiable function with ݂f(0)=0. If y = f(x) satisfies the differential equation dy/dx = (2+5y)(5y-2) then the value of lim x–>∞ f(x) is _____.
Q. 47 Let f: R—> R be a differentiable function with ݂f(0)=1 and satisfying the equation f(x+y) = f(x).f'(y) + f'(x).f(y) Then, the value of log(e) f(4) is _____.
Q. 48 Let ܼܿ be a point P in the first octant, whose image ܳQ in the plane x+y=3 (that is, the line segment PQ ܼܳܿ is perpendicular to the plane x+y=3 and the mid-point of ܼܳܿ PQ lies in the plane x+y=3) lies on the z-axis. Let the distance of ܼܿP from the x-axis be 5. If R ܴ is the image of ܼܿR in the xy-plane, then the length of ܴܿ ܼ is _____
Q. 49 Consider the cube in the first octant with sides ܱܿOܼ P, OQ and ܱOܴ R of length 1, along the x-axis, y-axis and z-axis, respectively, where ܱO(0,0,0) is the origin. Let ܵS(1/2,1/2,1/2) be the centre of the cube and ܶ be the vertex of the cube opposite to the origin ܱ such that ܵ lies on the diagonal
Q. 50 Let 1(¹⁰C₁)² + 2(¹⁰C₂)² +….+10(¹⁰C₁₀)² where , ¹⁰Cᵣ , r ε {1, 2, ⋯ , 10} denote binomial coefficients. Then, the value of is _____ .
Q. 51 Match the following with the lists given below.
A. A
B. B
C. C
D. D
Q. 52 In a high school, a committee has to be formed from a group of 6 boys M₁, M₂, M₃, M₄, M₅ and M₆ and 5 girls G₁,G₂,G₃,G₄ and G₅
(i) Let α₁ be the total number of ways in which the committee can be formed such that the committee has 5 members, having exactly 3 boys and 2 girls.
(ii) Let α₂ be the total number of ways in which the committee can be formed such that the committee has at least 2 members, and having an equal number of boys and girls.
(iii) Let α₃ be the total number of ways in which the committee can be formed such that the committee has 5 members, at least 2 of them being girls.
(iv) Let α₄ be the total number of ways in which the committee can be formed such that the committee has 4 members, having at least 2 girls and such that both M₁ and G₁ are NOT in the committee together.
A. A
B. B
C. C
D. D
Q. 53 Let H: x²/a² – y²/b² = 1, where a>b>0, be a hyperbola in the xy- plane whose conjugate ax is LM subtends an angle of 60° at one of its vertices N. Let the area of triangle LNM be 4√3. Match the correct option from List – 1 to List -2
A. P -> 4; Q -> 2; R -> 1; S-> 3
B. P -> 4; Q -> 3; R -> 1; S-> 2
C. P -> 4; Q -> 1; R -> 3; S-> 2
D. P -> 3; Q -> 4; R -> 2; S-> 1
Q. 54 Match them by observing the lists given in figure carefully.
A. A
B. B
C. C
D. D
| Question | 1 | 2 | 3 | 4 | 5 | 6 | 7 | 8 | 9 | 10 |
| Answer | ABD | ACD | AB | B | AC | AC | 6.30 | 30.00 | 3.00 | 5.55/5.56 |
| Question | 11 | 12 | 13 | 14 | 15 | 16 | 17 | 18 | 19 | 20 |
| Answer | 3.0 | 900.00 | 24.00 | 3.00 | B | B | C | A | ABD | BD |
| Question | 21 | 22 | 23 | 24 | 25 | 26 | 27 | 28 | 29 | 30 |
| Answer | D | D | ACD | BCD | 6 | 6.47 | 126 | 7 | 495 | -14.6 |
| Question | 31 | 32 | 33 | 34 | 35 | 36 | 37 | 38 | 39 | 40 |
| Answer | -8500 | -11.62 | C | D | B | D | ABD | AD | ACD | ACD |
| Question | 41 | 42 | 43 | 44 | 45 | 46 | 47 | 48 | 49 | 50 |
| Answer | ACD | BCD | 2 | 4 | 11 9 | 0.4 | 2 | 8 | 0.5 | 646 |
| Question | 51 | 52 | 53 | 54 | ||||||
| Answer | A | C | B | D |
