PHYSICS
SECTION A
Q. 1: An electron with kinetic energy K1 enters between parallel plates of a capacitor at an angle ‘α’ with the plates. It leaves the plates at angle ‘β’ with kinetic energy K2. Then the ratio of kinetic energies K1 : K2 will be:
(A) sin2β/cos2α
(B) cos2β/cos2α
(C) cosβ/sinα
(D) cosβ/cosα
Answer: (B)
∵v1cosα = v2cosβ [electric field inside a parallel plate capacitor is perpendicular to the plates, hence, there will be no change in parallel component of velocity]
v1/v2 = cosβ/cosα
Then the ratio of kinetic energies
k1/k2 = ½ mv12/ ½ mv22 = (v1/v2)2 = (cosβ/cosα)2
k1/k2 = cos2β/cos2α
Q. 2: Two identical springs of spring constant ‘2K’ are attached to a block of mass m and to fixed support (see figure). When the mass is displaced from equilibrium position on either side, it executes simple harmonic motion. Then, time period of oscillations of this system is:
(A) π√(m/k)
(B) π√(m/2k)
(C) 2π√(m/k)
(D) 2π√(m/2k)
Answer: (A)
Springs are in parallel combination.
Hence, Keff = 2k + 2k = 4k
∵ T = 2π √(m/keff)
= 2π√(m/4k)
T = π √(m/k)
Q. 3: The wavelength of the photon emitted by a hydrogen atom when an electron makes a transition from n = 2 to n = 1 state is:
(A) 194.8 nm
(B) 490.7 nm
(C) 913.3 nm
(D) 121.8 nm
Answer: (D)
∆E = 10.2 eV is the energy difference between the state n = 2 & n = 1
∆E = –3.4 – (–13.6) = 10.2 eV
hc/λ = 10.2 ev
λ = hc/(10.2)e (in meters) where ‘e’ = 1.6 × 10–19 J/V
= 12400/10.2 Å (because hc = 12400 eV nm)
= 121.56 nm
≃ 121.8 nm
Q. 4: In a ferromagnetic material below the Curie temperature, a domain is defined as:
(A) a macroscopic region with consecutive magnetic dipoles oriented in opposite directions.
(B) a macroscopic region with zero magnetization.
(C) a macroscopic region with saturation magnetization.
(D) a macroscopic region with randomly oriented magnetic dipoles.
Answer: (C)
In a ferromagnetic material below the Curie temperature, the domain is defined as a macroscopic region with saturation magnetization.
Q. 5: The point A moves with a uniform speed along the circumference of a circle of radius 0.36m and covers 30o in 0.1s. The perpendicular projection ‘P’ form ‘A’ on the diameter MN represents the simple harmonic motion of ‘P’. The restoring force per unit mass when P touches M will be:
(A) 100 N
(B) 50 N
(C) 9.87 N
(D) 0.49 N
Answer: (C)
The point covers 30o in 0.1 sec.
Means
π/6 → 0.1sec.
1 → 0.1/(π/6)
2π = → 0.1×6×2π/π
T = 1.2 sec.
We know that ω = 2π/T
ω = 2π/1.2
Restoring force (F) = mω2A
Then, Restoring force per unit mass (F/m) = ω2A
F/m = (2π/1.2)2×0.36
≃ 9.87 N
Q. 6: Match List I with List II.
| List I | List II |
| (a) Rectifier | (i) Used either for stepping up or stepping down the A.C.voltage |
| (b) Stabilizer | (ii) Used to convert A.C. voltage into D.C. voltage |
| (c) Transformer | (iii) Used to remove any ripple in the rectified output voltage |
| (d) Filter | (iv) Used for constant output voltage even when the input voltage or load current change |
Choose the correct answer form the options given below:
(A) (a)-(ii), (b)- (i), (c)-(iv), (d)-(iii)
(B) (a)-(ii), (b)- (iv), (c)-(i), (d)-(iii)
(C) (a)-(ii), (b)- (i), (c)-(iii), (d)-(iv)
(D) (a)-(iii), (b)- (iv), (c)-(i), (d)-(ii)
Answer: (B)
(a) Rectifier:- used to convert A.C voltage into D.C. Voltage.
(b) Stabilizer:- used for constant output voltage even when the input voltage or load current change
(c) Transformer:- used either for stepping up or stepping down the A.C. voltage.
(d) Filter:- used to remove any ripple in the rectified output voltage.
Q. 7: Y = A sin(ωt + ϕ) is the time – displacement equation of an SHM, At t = 0, the displacement of the particle is Y = A/2 and it is moving along negative x-direction. Then, the initial phase angle ϕ will be.
(A) π/6
(B) π/3
(C) 2π/3
(D) 5π/6
Answer: (D)
y = A sin (ωt + ϕ)
t = 0, x = A/2
1/2 = sin ϕ
ϕ = π/6, 5π/6
v = dy/dt = A ωcos(ωt + ϕ)
t = 0, v = A ωcosϕ
ϕ = π/6, for v (positive)
ϕ = 5π/6, for v (negative)
∴ϕ = 5π/6
Q. 8: A sphere of radius ‘a’ and mass ‘m’ rolls along horizontal plane with constant speed v0. It encounters an inclined plane at angle θ and climbs upwar(D) Assuming that it rolls without slipping how far up the sphere will travel (along the incline)?
(A) (⅖) v02/g sin θ
(B) 10v02/7gsin θ
(C) v02/5gsin θ
(D) 7v02/10gsin θ
Answer: (D)
From energy conservation
mgh = ½ mv2 + ½ Iω2
mgh = ½ mv2 + ½×(⅖)ma2× v02/a2
gh = ½ v02+ ⅕ v02
gh = (7/10)v02
h = (7/10)v02/g
From triangle, sinθ = h/l
Then, h = lsinθ
l sinθ = (7/10) (v02/g)
l = (7/10) (v02/g sin θ)
Q. 9: Consider the diffraction pattern obtained from the sunlight incident on a pinhole of diameter 0.1 μm. If the diameter of the pinhole is slightly increased, it will affect the diffraction pattern such that:
(A) its size decreases, but intensity increases
(B) its size increases, but intensity decreases
(C) its size increases, and intensity increases
(D) its size decreases, and intensity decreases
Answer: (A)
For diffraction through a single slit, for first minimum.
sin θ = 1.22λ/D
If D is increased, then sinθ will decrease i.e θ will decrease
∴ size of circular fringe will decrease but intensity increases.
Q. 10: An electron of mass me and a proton of mass mp = 1836 me are moving with the same speed. The ratio of their de Broglie wavelength λelectron/λProton will be:
(A) 918
(B) 1836
(C) 1/1836
(D) 1
Answer: (B)
Given mass of electron = me
Mass of proton = mp
∴ given mp = 1836 me
From de-Broglie wavelength
λ = h/p = h/mv
λe/λp = mp/me [v is same]
= 1836me/me
λe/λp= 1836
Q. 11: The stopping potential for electrons emitted from a photosensitive surface illuminated by light of wavelength 491 nm is 0.710 V. When the incident wavelength is changed to a new value, the stopping potential is 1.43 V. The new wavelength is:
(A) 400 nm
(B) 382 nm
(C) 309 nm
(D) 329 nm
Answer: (B)
From the photoelectric effect equation
hc/λ = ϕ + evs
where Vs is the stopping potential and ϕ is work function of the metal.
So, evs1 = hc/λ1 – ϕ ……(i)
evs2 = hc/λ2 – ϕ …..(ii)
Subtract equation (i) from equation (ii)
evs1 – evs2 = hc/λ1– hc/λ2
vs1 – vs2 = (hc/e) (1/λ1 – 1/λ2)
(0.710 – 1.43) = 1240 (1/491 – 1/λ2)
(because hc = 1240 eV nm)
-0.72/1240 = 1/491 – 1/λ2
1/λ2 = 1/491 + 0.72/1240
1/λ2 = 0.00203 + 0.00058
1/λ2 = 0.00261
λ2 = 383.14
λ2 ≃ 382 nm
Q. 12: The truth table for the following logic circuit is:
Answer: (D)
If A = B = 0 then output y = 1
If A = B = 1 then output y = 1
Q. 13: If e is the electronic charged, c is the speed of light in free space and h is planck’s constant, the quantity (1/4πε0) |e|2/hc has dimensions of:
(A) [ LC-1]
(B) [M0 L0 T0]
(C) [ M L T0]
(D) [M L T-1]
Answer: (B)
Given
e = electronic charge
c = speed of light in free space
h = planck’s constant
(1/4πε0) e2/hc = (ke2/hc)× λ2/λ2 [multiply and divide by lambda = wavelength]
= F×λ/E [ke2/λ2 has dimensions of force and hc/λ = E]
= E/E [F× λ has dimension of E]
= dimensionless
= [ M0 L0 T0]
Q. 14: A charge ‘q’ is placed at one corner of a cube as shown in figure. The flux of electrostatic field E→ through the shaded area is:
(A) q/48ε0
(B) q/8ε0
(C) q/24ε0
(D) q/4ε0
Answer: (C)
Total flux through the cube = (q/ε0)× ⅛ = q/8ε0
Total flux through one “outer” face of the cube = (q/8ε0)×1/3 = q/24ε0
[Because there is flux only through 3 faces]
Hence, total flux through shaded area
ϕT = (q/24ε0 + q/24ε0)×1/2 [half of each face is shaded]
ϕT = q/24ε0
Q. 15: Thermodynamic process is shown below on a P-V diagram for one mole of an ideal gas. If V2 = 2V1 then the ratio of temperature T2/T1 is:
(A) 1/√2
(B) 1/2
(C) 2
(D) √2
Answer: (D)
From P-V diagram,
Given PV1/2 = constant …..(i)
We know that
PV = nRT
P ∝ (T/V) [for 1 mole]
Put in equation (i)
(T/V) (V)1/2 = constant
T ∝V1/2
T2/T1 = √(V2/V1)
T2/T1 = √(2V1/V1)
T2/T1 = √2
Q. 16: Given below are two statements:
Statement I: In a diatomic molecule, the rotational energy at a given temperature obeys Maxwell’s distribution.
Statement II: In a diatomic molecule, the rotational energy at a given temperature equals the transnational kinetic energy for each molecule.
In the light of the above statements, choose the correct answer from the options given below:
(A) Both statement I and statement II are false.
(B) Both statement I and statement II are true.
(C) Statement I is false but statement II is true.
(D) Statement I is true but statement II is false.
Answer: (D)
The translational kinetic energy & rotational kinetic energy both obey Maxwell’s distribution independent of each other.
T.K.E. of diatomic molecules = (3/2) kT [3 translational D.O.F.]
R.K.E. of diatomic molecules = (2/2) kT = [2 rotational D.O.F.]
So statement I is true but statement II is false.
Q. 17: An LCR circuit contains resistance of 110 Ω and a supply of 220 V at 300 rad/s angular frequency. If only capacitance is removed from the circuit, current lags behind the voltage by 450. If on the other hand, only inductor is removed the current leads by 450 with the applied voltage. The rms current flowing in the circuit will be:
(A) 2.5 A
(B) 2 A
(C) 1 A
(D) 1.5 A
Answer: (B)
When L and C are connected with R in series the circuit will come in resonance So, current in the circuit will be:
Irms = Vrms/R
= 220/110
= 2 A
Q. 18: For extrinsic semiconductors: when doping level is increased;
(A) Fermi–level of p and n-type semiconductors will not be affected.
(B) Fermi–level of p-type semiconductors will go downward and Fermi–level of n-type semiconductor will go upward.
(C) Fermi–level of both p–type and n–type semiconductors will go upward for T >TFK and downward for T<TFK, where TF is Fermi temperature.
(D) Fermi–level of p-type semiconductor will go upward and Fermi–level of n–type semiconductors will go downward.
Answer: (B)
In n-type semiconductor, pentavalent impurity is added Each pentavalent impurity donates a free electron. So the Fermi-level of n-type semiconductor will go upward and in p-type semiconductor, trivalent impurity is added. Each trivalent impurity creates a hole in the valence band So the Fermi-level of p-type semiconductor will go downward.
Q. 19: A stone is dropped from the top of a building. When it crosses a point 5m below the top, another stone starts to fall from a point 25m below the top, both stones reach the bottom of the building simultaneously. The height of the building is: [Take g = 10 m/s2]
(A) 45 m
(B) 35 m
(C) 25 m
(D) 50 m
Answer: (A)
Velocity of particle (1) at 5m below top u1 = √2gh = √(2×10×5) =10 m/s
For particle (1), using 2nd equation of motion
20+h = 10t + ½ gt2 …..(i)
For particle (2), using 2nd equation of motion
h = ½ gt2 …..(ii)
Put equation (ii) in equation (i)
20 + ½ gt2 = 10t + ½ gt2
t = 2 sec.
Put in equation (ii)
h = ½ gt2
= ½ ×10 × 22
h = 20m
The height of the building = 25 + 20 = 45m
Q. 20: If a message signal of frequency ‘fm’ is amplitude modulated with a carrier signal of frequency ‘fc’ and radiated through an antenna, the wavelength of the corresponding signal in air is:
[Given, C is the speed of electromagnetic waves in vacuum/air]
(A) c/(fc+fm)
(B) c/(fc-fm)
(C) c/fm
(D) c/fc
Answer: (A)
Equation of amplitude modulated wave y = (Ac + Am sin ωmt) sin ωct
Here angular frequency of modulated signal = ωc
Thus frequency of modulated signal = fc
Thus wavelength = c/fc
Section B
Q. 1: The initial velocity v1 required to project a body vertically upward from the surface of the earth to just reach a height of 10R, where R is the radius of the earth, may be described in terms of escape velocity ve such that vi = √(x/y) ve. The value of x will be_______.
Answer: 20
Here R = radius of the earth
From energy conservation
-Gmem/R + ½ mvi2 = -Gmem/11R + 0
½ mvi2 = (10/11)Gmem/R
vi = √(20Gme/11R)
vi = √(20/11) ve {∵escape velocity ve = √(Gme/R)}
Then the value of x = 20
Q. 2: The percentage increase in the speed of transverse waves produced in a stretched string if the tension is increased by 4% will be ___%.
Answer: 2
Speed of transverse wave is
V = √(T/μ)
Taking log on both sides
ln v = ½ lnT – ½ ln μ
Δv/v = ½ ΔT/T ⇒ (Δv/v)×100 = 1/2 ( ΔT/T)×100
= ½ ×4 [ μ is constant for a string]
(Δv/v)×100 = 2%
Q. 3: The peak electric field produced by the radiation coming from the 8 W bulb at a distance of 10 m is (x/10) √(µ0c/π) V/m. The efficiency of the bulb is 10% and it is a point source. The value of x is ___.
Answer: 2
Intensity I = ½ c∈0E02
Intensity = Power / Area = 8 /(4π × 102)
(8/4π×102) ×½ =¼ × c ×(1/µ0c2) ×E02 [Multiply by ½ and ∈0 =1/μ0c2]
E0 = (2/10)√(µ0c/π)
⇒ x = 2
Q. 4: Two identical conducting spheres with negligible volume have 2.1nC and -0.1nC charges, respectively. They are brought into contact and then separated by a distance of 0.5 m. The electrostatic force acting between the spheres is _______× 10-9 N. [Given : 4πε0 = 1/9×109 SI unit]
Answer: 36
When they are brought into contact & then separated by a distance = 0.5 m. Then charge distribution will be
The electrostatic force acting b/w the sphere is
Fe = kq1q2/r2
= 9×109×1×10-9×1×10-9/(0.5)2
= (900/25) × 10-9
Fe = 36 ×10-9 N
Q. 5: A current of 6A enters one corner P of an equilateral triangle PQR having 3 wires of resistance 21Ω each and leaves by the corner R. The currents i1 in ampere is______.
Answer: 2
The current i1 = (R2/(R1 + R2))i
= (2/(4+2))×6
i1 = 2A
Q. 6: The wavelength of an X-ray beam is 10 Å. The mass of a fictitious particle having the same energy as that of the X-ray photons is (x/3) h kg. The value of x is _______.
Answer: 10
Given wavelength of an X-ray beam = 10 Å
∵E = hc/λ = mc2
m = hc/λ will be the mass of a particle having the same energy
The mass of a fictitious particle having the same energy as that of the X-ray photons = (x/3)h kg
(x/3) h = h/cλ
x = 3/cλ
= 3/3×108×10×10-10
x = 10
Q. 7: A reversible heat engine converts one- fourth of the heat input into work. When the temperature of the sink is reduced by 52 K, its efficiency is doubled The temperature in Kelvin of the source will be_______.
Answer: 208
∵ n = W/Qin = 1/4
¼ = 1 – T2/T1 [for reversible heat engine]
T2/T1 = 3/4
When the temperature of the sink is reduced by 52k then its efficiency is doubled.
1/2 = 1 -(T2 – 52)/T1
(T2– 52)/T1 = 1/2
T2/T1 – 52/T1 = 1/2
¾ – 52/T1 = 1/2
52/T1 = 1/4
T1 = 208 K is the source temperature.
Q. 8: If P→ × Q→ = Q→ × P→ , the angle between P→ and Q→ is θ(0o<θ< 360o). The value of ‘θ’ will be ____.
Answer: 180
Q. 9: Two particles having masses 4g and 16g respectively are moving with equal kinetic energies. The ratio of the magnitudes of their linear momentum is n:2. The value of n will be_____.
Answer: 1
Relation b/w kinetic energy & momentum is
p = √(2mKE) (∵KE = same)
p1/p2 = √(m1/m2)
n/2 = √(4/16)
n = 1
Q. 10 : Two small spheres each of mass 10 mg are suspended from a point by threads 0.5 m long. They are equally charged and repel each other to a distance of 0.20 m. Then charge on each of the sphere is (a/21)×10-8C. The value of ‘a’ will be________. [Take g = 10 m/s2]
Answer: 20
From FBD, T sinθ = kq2/d2 and T cosθ = mg
Dividing them,
mg tanθ = kq2/d2
q = √(mg tanθ)/25k
= √(10×10-6×10×1/√24(25)9×109)
= √(10-4×4/√24×25×4×9×109)
= (⅔)√(10-4/√24×1011)
Thus (a/21)×10-8 = ⅔ √(10-15/√24)
= ⅔ √(10-16/0.49)
a = 2×21/3×0.7
= 20
CHEMISTRY
SECTION A
Q. 1. What is ‘X’ in the given reaction?
Answer: (A)
Q. 2. The major product of the following reaction:
Answer: (D)
Q. 3. Given below are two statements:
Statement I: The identification of Ni2+ is carried out by dimethylglyoxime in the presence of NH4OH
Statement II: The dimethylglyoxime is a bidentate neutral ligand.
In the light of the above statements, choose the correct answer from the options given below:
(A) Both statement I and statement II are true
(B) Both statement I and statement II are false
(C) Statement I is false but statement II is true
(D) Statement I is true but statement II is false
Answer: (D)
Dimethylglyoxime is a negative bidentate legend.
Q. 4. Carbylamine test is used to detect the presence of a primary amino group in an organic compound Which of the following compounds is formed when this test is performed with aniline?
Answer: (B)
Q. 5. The correct order of bond dissociation enthalpy of halogen is:
(A) F2>Cl2>Br2>I2
(B) Cl2>F2>Br2>I2
(C) Cl2>Br2>F2>I2
(D) I2>Br2>Cl2>F2
Answer: (C)
Fact based
F2 has F — F, F2 involves repulsion of non-bonding electrons & more over its size is small and hence due to high repulsion its bond dissociation energy is very low.
Q. 6. Which one of the following statements is FALSE for hydrophilic sols?
(A) These sols are reversible in nature
(B) The sols cannot be easily coagulated
(C) They do not require electrolytes for stability
(D) Their viscosity is of the order of that of H2O
Answer: (D)
Fact based
Q. 7. Water does not produce CO on reacting with
(A) C3H8
(B) C
(C) CH4
(D) CO2
Answer: (D)
H2O + CO2 H2CO3
Q. 8: The correct sequence of reagents used in the preparation of 4-bromo-2-nitroethyl benzene from benzene is:
(A) CH3COCl/AlCl3, Br2/AlBr3, HNO3/H2SO4, Zn/HCl
(B) CH3COCl/AlCl3, Zn-Hg/HCl, Br2/AlBr3, HNO3/H2SO4
(C) Br2/AlBr3, CH3COCl/AlCl3, HNO3/H2SO4, Zn/HCl
(D) HNO3/H2SO4, Br2/AlCl3, CH3COCl/AlCl3, Zn-Hg/HCl
Answer: (B)
Q. 9. Given below are two statements:
Statement I: α and β forms of sulphur can change reversibly between themselves with slow heating or slow cooling.
Statement II: At room temperature the stable crystalline form of sulphur is monoclinic sulphur.
In the light of the above statements, choose the correct answer from the options given below.
(A) Both statement I and statement II are false
(B) Statement I is true but statement II is false
(C) Both statement I and statement II are true
(D) Statement I is false but statement II is true
Answer: (B)
Q. 10. Correct statement about the given chemical reaction is:
(A) Reaction is possible and compound (A) will be a major product.
(B) The reaction will form a sulphonated product instead of nitration.
(C) NH2 group is ortho and para directive, so product (B) is not possible.
(D) Reaction is possible and compound (B) will be the major product.
Answer: (A)
Q. 11. Which of the following compounds is added to the sodium extract before addition of silver nitrate for testing of halogens?
(A) Nitric acid
(B) Sodium hydroxide
(C) Hydrochloric acid
(D) Ammonia
Answer: (A)
NaCN + HNO3 → NaNO3 + HCN ↑
Na2S + HNO3 → NaNO3 + H2S ↑
Nitric acid decomposes NaCN & Na2S, else they precipitate in test & misguide the resolve.
Q. 12: Given below are two statements:
Statement I: The pH of rain water is normally ~5.6.
Statement II: If the pH of rain water drops below 5.6, it is called acid rain.
In the light of the above statements, choose the correct answer from the option given below.
(A) Statement I is false but Statement II is true
(B) Both statement I and statement II are true
(C) Both statement I and statement II are false
(D) Statement I is true but statement II is false
Answer: (B)
Both statements are correct
Q. 13. The solubility of Ca(OH)2 in water is:
[Given: The solubility product of Ca(OH)2 in water = 5.5×10-6]
(A) 1.11 ×10-6
(B) 1.77 ×10-6
(C) 1.77×10-2
(D) 1.11×10-2
Answer: (D)
Ca(OH)2 ⇌ Ca+2 + 2OH–
s (2s + 10-7)
s(2s+10-7)2 = 55×10-7
4s3 = 55×10-7
s3 = 5500 / 4 × 10-9
s = (2250/2) 1/3× 10-3
s = (1125)⅓ × 10-3
s = 1.11 × 10-2
Q. 14. The major components of German Silver are:
(A) Cu, Zn and Mg
(B) Ge, Cu and Ag
(C) Zn, Ni and Ag
(D) Cu, Zn and Ni
Answer: (D)
Fact
German silver is alloy which does not have silver.
Cu-50%; Ni-30%; Zn-20%
Q. 15. The method used for the purification of Indium is:
(A) Van Arkel method
(B) Vapour phase refining
(C) Zone refining
(D) Liquation
Answer: (C)
Fact
Ga, In, Si, Ge are refined by zone refining or vacuum refining.
Q. 16. Which of the following is correct structure of α-anomer of maltose
Answer: (D)
Q. 17. The major product of the following reaction is:
(A) CH3CH2CH2CHO
(B) CH3CH2CH=CH–CHO
(C) CH3CH2CH2CH2CHO
(D)
Answer: (C)
Q. 18. The correct order of acid character of the following compounds is:
(A) II>III>IV>I
(B) III>II>I>IV
(C) IV>III>II>I
(D) I>II>III>IV
Answer: (A)
Acidity of carboxylic acid α-R>-H>-I
1 / α + R > + H > + I
Q. 19. Which among the following species has unequal bond lengths?
(A) XeF4
(B) SiF4
(C) BF4-
(D) SF4
Answer: (D)
Q. 20. If which of the following orders the given complex ions are arranged correctly with respect to their decreasing spin only magnetic moment?
(i) [FeF6]3-
(ii) [Co(NH3)6]3+
(iii) [NiCl4]2-
(iv) [Cu(NH3)4]2+
(A) (ii)>(i)>(iii)>(iv)
(B) (iii)>(iv)>(ii)>(i)
(C) (ii)>(iii)>(i)>(iv)
(D) (i)>(iii)>(iv)>(ii)
Answer: (D)
[FeF6]3-: Fe3+ 3d5 → 5-unpaired electrons as F- is weak field legend
[Co(NH3)6]3+: Co3+ 3d6→ No-unpaired electron as NH3 is strong field light and causes pairing
[NiCl4]2-: Ni2+ 3d8 → 2-unpaired electrons
[Cu(NH3)4]2+: Cu2+ 3d9 → 1-unpaired electrons
SECTION B
Q. 1. Consider titration of NaOH solution versus 1.25 M oxalic acid solution. At the end point following burette readings were obtained.
(i) 4.5 mL (ii) 4.5 mL (iii) 4.4 mL (iv) 4.4 mL (v) 4.4 mL
If the volume of oxalic acid taken was 10.0 ml. then the molarity of the NaOH solution is ____M. (Rounded-off to the nearest integer)
Answer: 6
Eq. of NaOH = Eq. of oxalic acid
[NaOH] × 1 × 4.4 = 5/4 × 2 ×10
[NaOH] = 100 / 4 × 4.4 = 25 / 4.4 = 5.68
Nearest integer = 6 M
Q. 2. Electromagnetic radiation of wavelength 663 nm is just sufficient to ionize the atom of metal A. The ionization energy of metal A in kJ mol—1 is____. (Rounded off to the nearest integer)
[h=6.63×10-34Js, c = 3.00×108ms-1, NA=6.02×1023 mol-1]
Answer: 180
Energy required to ionize an atom of metal ‘A’ = hc / λ = hc / 663 nm for 1 mole atoms of ‘A’
Total energy required = NA × hc / λ
=
[6.023 × 1023 × 6.63 × 10-34 × 3 × 108]/[663 × 10-9]
= 6.023 × 3 × 1023-34+8+7
= 18.04 × 104 J/mol
= 180.4 kJ/mol
Nearest Integer = 180 kJ/Mol.
Q. 3. Copper reduces into NO and NO2 depending upon the concentration of HNO3 in solution. (Assuming fixed [Cu2+] and PNO=PNO2), the HNO3 concentration at which the thermodynamic tendency for reduction of into NO and NO2 by copper is same is 10x M.
The value of 2x is ______. (Rounded-off to the nearest integer)
[Given:
E0(Cu2+ /Cu) = 0.34V, E0 (No3– / NO) = 0.96V, E0(No3– / NO2 = 0.79V and at 298 K,
RT/F(2.303)= 0.059
Answer: 4
Anode
Cu(s) → Cu+2 + 2e–
Cathode (1)
log (HNO3) = 2.16
[HNO3] = 102.16 = 10x
x = 2.16 ⇒ 2x = 4.32 ≈ 4
Q. 4. Five moles of an ideal gas at 293 K is expanded isothermally from an initial pressure of 2.1 MPa to 1.3 MPa against a constant external 4.3 MP(A) The heat transferred in this process is ____kJ mol-1. (Rounded-off of the nearest integer)
[Use R = 8.314 J mol-1 K-1]
Answer: 15
Moles (n) = 5
T = 293 K
Process = Iso T. → Irreversible
Pini = 2.1 M Pa
Pt = 1.3 M Pa
Pext = 4.3 mPa
Work = – Pext Δv
=−4.3×(5×293R / 1.3 − 5×293/2.1)
=−5×293×8.314×43(1/13 −1/21)
=(5×293×8.314×43×8)/(21×13)
= -15347.7049 J
= – 15.34 kJ
Isothermal process, so ΔU = 0
w = – Q
Q = 15.34 kJ / mol
So, answer is 15.
Q. 5. Among the following, the number of metal/s which can be used as electrodes in the photoelectric cell is _____(Integer answer).
Answer: (A)
Cs is used in photoelectric cells due to its very low ionization potential.
Q. 6. The rate constant of a reaction increases by five times on increasing temperature from 270 C to 520C. The value of activation energy in kJ mol-1 is ______.
(Rounded off to the nearest integer)
[R=8.314 J K-1 mol-1]
Answer: 52
Ea = 51524.96 J/mol
Ea = 51.524 kJ/mol
52 Ans.
Q. 7. If a compound AB dissociates to the extent of 75% in an aqueous solution, the molality of the solution which shows a 2.5 K rise in the boiling point of the solution is ______molal.
Answer: 3
AB → A+ + B–
1 – α α α
α = 3 / 4
N = 2
i = [1+(2-1)α]
2.5 = [1+(2-1)3/4] × 0.52 × m
m = 2.5/0.52 × 7/4 = 10/3.64 = 2.747
m= 2.747≈ 3 mol/kg
Q. 8. The spin only magnetic moment of a divalent ion in aqueous solution (atomic number 29) is ____BM.
Answer: 2
29Cu+2 → [Ar]183d9
No. of unpaired e– = 1
Magnetic moment = μ = √n(n + 2)
μ = √(1)(1 + 2) = √3B.M.
= 1.73 B.M
Q. 9. The number of compound/s given below which contain/s —COOH group is ______
(A) Sulphanilic acid
(B) Picric acid
(C) Aspirin
(D) Ascorbic acid
Answer: (A)
Q. 10. The unit cell of copper corresponds to a face centered cube of edge length 3.596 Å with one copper atom at each lattice point. The calculated density of copper in kg/m3 is ______.
Answer: 9077
a = 3.596 Å
d = Z × GMM / NA × a3
d = (Z4 × 63.54 × 10-3)/ 6.022 × 1023 × (3.956 × 10-10)3
d = 0.9076 × 104 = 9076.2 kg/m3
MATHS
SECTION A
Q. 1: If the curve x2 + 2y2 = 2 intersects the line x + y = 1 at two points P and Q, then the angle subtended by the line segment PQ at the origin is:
(A) 𝜋/2 + tan–1(1/4)
(B) 𝜋/2 – 𝑡𝑎𝑛–1(1/4)
(C) 𝜋/2 + 𝑡𝑎𝑛–1(1/3)
(D) 𝜋/2 – 𝑡𝑎𝑛–1(1/3)
Answer: (A)
Using homogenization
x2 + 2y2 = 2(1) 2
⇒x2 + 2y2 = 2(x + y) 2
⇒x2 + 2y2 = 2x2 + 2y2 + 4xy
⇒x2 + 4xy = 0
for ax2 + 2hxy + by2 = 0, obtuse angle between lines θ is
tan θ = ±(2√(h2–ab))/(a+b)
⇒tan θ = ±4
⇒tan θ = –4
cot θ = -1/4
θ = cot–1(–1/4)
θ = π – cot–1 (1/4)
θ = π – (π/2– tan–1(1/4) )
θ = π/2 + tan-1(1/4)
Q. 2:
(A) loge|x2 + 5x – 7| + c
(B) (1/4) loge |x2 + 5x – 7| + c
(C) 4 loge|x2 + 5x – 7| + c
(D) loge √(x2 + 5x – 7) + c
Answer: (C)
Q. 3: A hyperbola passes through the foci of the ellipse x2/25 + y2/16 = 1 and its transverse and conjugate axes coincide with major and minor axes of the ellipse, respectively. If the product of their eccentricities is one, then the equation of the hyperbola is:
(A) x2/9 – y2/4 = 1
(B) x2/9 – y2/16 = 1
(C) x2 – y2 = 9
(D) x2/9 – y2/25 = 1
Answer: (B)
For ellipse, e1 = √(1–16/25)=3/5
Foci = (±3,0)
Let equation of hyperbola be x2/A2 – y2/B2 = 1, passes through (±3, 0)
A2 =9, A=3, e2=5/3
e22 = 1 + B2/A2
25/9 = 1 + B2/9 ⇒B2 = 16
x2/9 – y2/16 = 1
Q. 4: limn→∞[1/n + n/(n+1)2 + n/(n+2)2 + …….. + n/(2n-1)2] is equal to:
(A) 1
(B) 1/3
(C) 1/2
(D) 1/4
Answer: (C)
Q. 5: In a group of 400 people, 160 are smokers and non-vegetarian; 100 are smokers and vegetarians and the remaining 140 are non-smokers and vegetarian. Their chances of getting a particular chest disorder are 35%, 20% and 10% respectively. A person is chosen from the group at random and is found to be suffering from chest disorder. The probability that the selected person is a smoker and non-vegetarian is:
(A) 7/45
(B) 8/45
(C) 14/45
(D) 28/45
Answer: (D)
Based on Bayes’ theorem
Probability = ((160/400×35/100))/((160/400×35/100)+(100/400×20/100)+(140/400×10/100) )
= 5600/9000
= 28/45
Q. 6: The following system of linear equations
2x + 3y + 2z = 9
3x + 2y + 2z = 9
x – y + 4z = 8
(A) does not have any solution
(B) has a unique solution
(C) has a solution (α, β, γ) satisfying α + β2 + γ3 = 12
(D) has infinitely many solutions
Answer: (B)
Determinant of given system = -20 ≠ 0
It has a unique solution.
Q. 7: The minimum value of f(x) = a^ax + a^(1-ax) where a, x ∈ R and a > 0, is equal to:
(A) a + 1/a
(B) a + 1
(C) 2a
(D) 2√a
Answer: (D)
Using AM ≥ GM inequality, we get
Q. 8: A function f(x) is given by f(x) = 5x/(5x+5), then the sum of the series f(1/20) + f(2/20) + f(3/20) + …… + f(39/20) is equal to:
(A) 19/2
(B) 49/2
(C) 39/2
(D) 29/2
Answer: (C)
f(x) = 5x/(5x + 5)….(i)
⇒ f(2–x) = 52–x/(52–x +5)
⇒f(2–x) = 5/(5x+5)……(ii)
Adding equation(i)and(ii)
f(x)+f(2–x)=1
f(1/20)+f(39/20)=1
f(2/20)+f(38/20)=1
……
…..
f(19/20) + f(21/20)=1
and f(20/20) = f(1) = 1/2
Therefore, f(1/20) + f(2/20) + f(3/20) + …… + f(39/20) = 19 + 1/2 = 39/2
Q. 9: A plane passes through the points A(1,2,3), B(2,3,1) and C(2,4,2). If O is the origin and P is (2,–1,1), then the projection of vector(OP) on this plane is of length:
(A) √(2/5)
(B) √(2/3)
(C) √(2/11)
(D) √(2/7)
Answer: (C)
A(1,2,3),B(2,3,1),C(2,4,2),O(0,0,0)
Equation of plane passing through A, B, C will be
(x – 1)(–1 + 4) – (y – 2)(–1 + 2) + (z – 3)(2 – 1) = 0
(x – 1)(3) – (y – 2)(1) + (z – 3)(1) = 0
3x – 3 – y + 2 + z – 3 = 0
3x – y + z – 4 = 0, is the required plane equation
Now, given O(0,0,0) & P(2,–1,1)
Plane is 3x – y + z – 4 = 0
Let O’ & P’ be the foot of perpendiculars.
Q. 10: The contra positive of the statement “If you will work, you will earn money” is:
(A) If you will not earn money, you will not work
(B) You will earn money, if you will not work
(C) If you will earn money, you will work
(D) To earn money, you need to work
Answer: (A)
Contrapositive of p → q is ~q →~p
p: you will work
q: you will earn money
~q: you will not earn money
~p: you will not work
~q →~p: if you will not earn money, you will not work
Q. 11: The shortest distance between the line x – y = 1 and the curve x2 = 2y is:
(A) 1/2
(B) 0
(C) 1/(2√2)
(D) 1/√2
Answer: (C)
Shortest distance must be along common normal
m1 (slope of line x–y = 1) = 1 ⇒slope of perpendicular line =–1
m2 = 2x/2 = x ⇒ m2 = h ⇒slope of normal = –1/h
–1/h=–1 ⇒h=1
So, the point is (1,1/2)
Therefore, Shortest distance (D) =|(1–1/2–1)/√(1+1)|=1/(2√2)
Q. 12: Let A be a set of all 4-digit natural numbers whose exactly one digit is 7. Then the probability that a randomly chosen element of A leaves remainder 2 when divided by 5 is:
(A) 1/5
(B) 2/9
(C) 97/297
(D) 122/297
Answer: (C)
Total cases
= 4C1 × 9 × 9 × 9 – 3C1 × 9 × 9
(as 4 digit number having 0 at thousands place have to be excluded)
For a number to have a remainder 2 when divided by 5 it’s unit digit should be 2 or 7
Case 1: when unit digit is 2
Number of four-digit number = 3C1×9×9 – 2C1×9
Case 2: when unit digit is 7
Number of four digits number = 8 × 9 × 9
So total number favorable cases = 3×92 – 2×9 + 8×92
Required Probability = ((3×9×9)–(2×9)+(8×9×9))/((4×93) – (3×92))
= 97/297
Q. 13: cosec[2 cot–1( 5) + cos–1(4/5) ] is equal to:
(A) 75/56
(B) 65/56
(C) 56/33
(D) 65/33
Answer: (B)
cosec[2 cot–1( 5) + cos–1(4/5) ]
Q. 14: If 0 < x, y < π and cos x + cos y – cos (x + y) = 3/2, then sin x + cos y is equal to:
(A) (1+√3)/2
(B) (1–√3)/2
(C) √3/2
(D) 1/2
Answer: (A)
Q. 15: If α, β∈ R are such that 1 – 2i (here i2 = –1) is a root of z2 + αz + β = 0, then (α – β) is equal to:
(A) 7
(B) -3
(C) 3
(D) -7
Answer: (D)
1-2i is a root of z2 + αz + β = 0.
(1-2i) 2 + α(1-2i)+β=0
⇒1-4-4i+α-2iα+β=0
⇒(α+β-3)-i(4+2α)=0
⇒α+β-3=0 & 4+2α=0
So, α=-2, β=5
Therefore, α-β=-7
Q. 16: If , then
(A) 1/(I2 + I4 ) , 1/(I3 + I5 ), 1/(I4 + I6) are in G.P.
(B) 1/(I2 + I4 ) , 1/(I3 + I5 ), 1/(I4 + I6) are in A.P.
(C) I2 + I4 , I3 + I5 , I4 + I6) are in A.P.
(D) I2 + I4 , I3 + I5 , I4 + I6) are in G.P.
Answer: (B)
In+2 + In = 1/(n+1)
I2 + I4 =1/3, I3 + I5 =1/4 and I4 + I6 =1/5
So, 1/(I2 + I4 ) , 1/(I3 + I5 ) and 1/(I4 + I6) are in A.P.
Q. 17: If for the matrix, A= AAT = I2, then the value of α4 + β4 is:
(A) 1
(B) 3
(C) 2
(D) 4
Answer: (A)
Q. 18: Let x denote the total number of one-one functions from a set A with 3 elements to a set B with 5 elements and y denote the total number of one-one functions from the set A to the set A × B. Then:
(A) y = 273x
(B) 2y = 91x
(C) y = 91x
(D) 2y = 273x
Answer: (B)
Number of elements in A = 3
Number of elements in B = 5
Number of elements in A × B = 15
Number of one-one function is x = 5 × 4 × 3
⇒x = 60
Number of one-one function is y = 15 × 14 × 13
⇒y = 15 × 4 × 14/4 × 13
⇒y = 60 × 7/2 × 13
⇒2y = (13)(7x)
⇒2y = 91x
Q. 19: Let α and β be the roots of x2 – 6x – 2 = 0. If an = αn – βn for n ≥ 1, then the value of (a10–2a8)/(3a9 ) is:
(A) 4
(B) 1
(C) 2
(D) 3
Answer: (C)
α and β be the roots of x2–6x–2=0.
So,
α2–6α–2=0⇒α2–2=6α
β2–6β–2=0⇒β2–2=6β
Now,
Q. 20: Let A be a 3 × 3 matrix with det(A) = 4. Let Ri denote the ith row of A. If a matrix B is obtained by performing the operation R2→ 2R2 + 5R3 on 2A, then det(B) is equal to:
(A) 64
(B) 16
(C) 80
(D) 128
Answer: (A)
Section B
Q. 1: Let . If the area of the parallelogram whose adjacent sides are represented by the vectors a→ and a→ is 8√3 square units, then
a→.b→is equal to ______.
Answer: 2
Area of parallelogram =
|a→ × b→|
(64)(3) = 16α2 + 64 + 16α2
⇒ α2 = 4
Now,
a→.b→ = 3 – α2 + 3
= 6 – α2
= 6 – 4
= 2
Q. 2: If the curve y = y(x) represented by the solution of the differential equation (2xy2 – y)dx + xdy = 0, passes through the intersection of the lines, 2x – 3y = 1 and 3x + 2y = 8, then |y(1)| is equal to ______.
Answer:1
Given,
(2xy2 – y)dx + xdy = 0
⇒ dy/dx + 2y2 – y/x = 0
⇒ (–1/y2) . dy/dx + (1/y) (1/x) = 2
Let, 1/y = z
(–1/y2) dy/dx = dz/dx
⇒dz/dx + z(1/x) = 2
As it passes through P(2, 1)
[Point of intersection of 2x – 3y = 1 and 3x + 2y = 8]
Therefore, 2/1 = 4 + c
⇒c = –2
⇒x/y = x2 – 2
Put x = 1
1/y = 1 – 2 = –1
⇒y(1) = –1
⇒|y(1)| = 1
Q. 3: If limx→0 ax−(e4x−1) / ax(e4x−1) exists and is equal to b, then the value of a – 2b is ______.
Answer: 5
limx→0 ax−(e4x−1) / ax(e4x−1)
Applying L’Hospital Rule
limx→0 a−4e4x / a(e4x−1)+ax(4e4x) So for limit to exist,a=4
Applying L’Hospital Rule
limx→0 −16e4x / a(4e4x) + a(4e4x) + ax(16e4x)
(-16)/(4a+4a)=(–16)/32=–1/2=b
a-2b = 4–2((–1)/2) = 4+1 = 5
Q. 4: A line L passing through origin is perpendicular to the lines
If the co-ordinates of the point in the first octant on L2 at the distance of √17 from the point of intersection of L and L1 are (a, b, c), then 18(a+b+c) is equal to ______.
Answer: 44
D.R. of L is parallel to (L1 × L2) ⇒ (-2, 3, -2)
Equation of l : x/2 = y/(–3) = z/2
Solving L & L1
(2λ, –3λ, 2λ) = (µ + 3, 2µ – 1, 2µ + 4)
µ = – 1 , λ = 1
So, intersection point P(2, –3, 2)
Let, Q(2ν + 3, 2ν + 3, ν + 2) be required point on L2
Q. 5: A function f is defined on [–3,3] as
where [x] denotes the greatest integer ≤ x. The number of points, where f is not differentiable in (–3,3) is ______.
Answer: (5)
Points of non-differentiable in (–3, 3) are at x = –2, –1, 0, 1, 2.
i.e. 5 points.
Q. 6: A line is a common tangent to the circle (x – 3)2 + y2 = 9 and the parabola y2 = 4x. If the two points of contact (a, b) and (c, d) are distinct and lie in the first quadrant, then 2(a+c) is equal to ______.
Answer: 9
Sol. Circle: (x – 3)2+ y2= 9
Parabola: y2 = 4x
Let common tangent equation be y = mx + a/m
⇒y = mx + 1/m
⇒m2x – my + 1 = 0
The above line is also tangent to circle
(x – 3)2 + y2= 9
Therefore, the perpendicular from (3, 0) to line = 3
⇒|(3m2 – 0 + 1)/√(m2+m4 )| = 3
⇒(3m2 + 1)2 = 9(m2 + m4)
⇒m = ±1/√3
Tangent is
y = 1/√3x + √3 (it will be used)
=> m = 1/√3
or y = –1/√3x – √3 (rejected)
For Parabola, point of contact is (a/m2 , 2a/m)= (3, 2√3) = (c, d)
Solving Circle (x – 3)2 + y2 = 9 & line equation y = (1/√3) x + √3
(x – 3)2 + ((1/√3) x + √3)2 = 9
⇒x2 + 9 – 6x + (1/3)x2 + 3 + 2x = 9
⇒(4/3)x2 – 4x + 3 = 0
⇒x = 3/2=a
∴ 2(a + c) = 2(3/2+3)= 9
Q. 7: The value of is ______.
Answer: 19
x2-x-2=(x–2)(x+1)
Q. 8: If the remainder when x is divided by 4 is 3, then the remainder when (2020+x)2022 is divided by 8 is ______.
Answer: 1
Let x = 4k + 3
(2020 + x)2022
= (2020 + 4k + 3)2022
= (2024 + 4k – 1)2022
= (4A – 1)2022
=2022C0(4A)2022(–1)0 + 2022C1(4A)2021(–1)1 + ……+2022C2021(4A)1(–1)2021+ 2022C2022(4A)0(–1)2022
Which will be of the form 8λ+1
So, Remainder is 1.
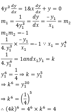
Q. 9: If the curves x = y4 and xy = k cut at right angles, then (4k)6 is equal to ______.
Answer: 4
Q. 10: The total number of two digit numbers ‘n’, such that 3n+7n is a multiple of 10, is ______.
Answer: 45
Let n = 2t; t ∈ N
3n = 32t = (10 – 1)t
=10p + (–1)t
= 10p ± 1
If n = even then 7n + 3n will not be multiple of 10
So, if n is odd then only 7n + 3n will be a multiple of 10
Therefore, n = 11,13,15,………..,99
Therefore, the answer is 45
