JEE Advanced 2015 Paper II Previous Year Paper

JEE Advanced 2015 Paper 2 

Q. 1 A large spherical mass M is fixed at one position and two identical point masses m are kept on a line passing through the centre of M (see figure). The point masses are connected by a rigid massless rod of length l and this assembly is free to move along the line connecting them. All three masses interact only through their mutual gravitational interaction. When the point mass nearer to M is at a distance r = 3l from M, the tension in the rod is zero for m = k(M/288). The value of k is

 

Q. 2 The energy of a system as a function of time t is given as E(t) = A²exp(-at), where a = 0.2 s⁻¹. The measurement of A has an error of 1.25%. If the error in the measurement of time is 1.50%, the percentage error in the value of E(t) at t=5 s is

 

Q. 3 The densities of two solid spheres A and B of the same radii R vary with radial distance r as Pₐ(r) = k(r/R) and Pᵦ(r) = k(r/R)⁵, respectively, where k is a constant. The moments of inertia of the individual spheres about axes passing through their centres are Iₐ and Iᵦ, respectively. If Iᵦ/Iₐ = n/10, the value of n is

 

Q. 4 Four harmonic waves of equal frequencies and equal intensities I₀ have phase angles 0, π/3, 2π/3 and π. When they are superposed, the intensity of the resulting wave is nI₀. The value of n is

 

Q. 5 For a radioactive material, its activity A and rate of change of its activity R are defined as A = -dN/dt and R = -dA/dt, where N(t) is the number of nuclei at time t. Two radioactive sources P (mean life l) and Q (mean life 2l) have the same activity at t = 0. Their rates of change of activities at t = 2l are Rₚ and Rᵩ, respectively. If Rₚ/Rᵩ = n/e, then the value of n is 

 

Q. 6 A monochromatic beam of light is incident at 60⁰ on one face of an equilateral prism of refractive index n and emerges from the opposite face making an angle θ(n) with the normal (see the figure). For n = √3 the value of θ is 60⁰ and dθ/dn = m. The value of m is 

 

Q. 7 In the following circuit, the current through the resistor R (= 2 Ω) is I Amperes. The value of I is

 

Q. 8 An electron in an excited state of Li²⁺ion has angular momentum 3h/2π. The de Broglie wavelength of the electron in this state is pπa₀ (where a₀ is the Bohr radius). The value of p is

 

Q. 9 Two spheres P and Q of equal radii have densities p₁ and p₂, respectively. The spheres are connected by a massless string and placed in liquids L₁ and L₂ of densities d₁ and d₂ and viscosities n₁ and n₂, respectively. They float in equilibrium with the sphere P in L₁ and sphere Q in L₂ and the string being taut (see figure). If sphere P alone in L₂ has terminal velocity V of P and Q alone in L has terminal velocity V of Q, then

A. |V of P|/|V of Q| = n₁/n₂

B. |V of P|/|V of Q| = n₂/n₁

C. V of P. V of Q > 0

D. V of P. V of Q < 0

 

Q. 10 In terms of potential difference V, electric current I, permittivity E₀, permeability u₀ and speed of light c, the dimensionally correct equation(s) is (are)

A. μ₀I² = ε₀V²

B. cI = μ₀V

C. I =ε₀cV

D. μ₀cI = ε₀V

 

Q. 11 Consider a uniform spherical charge distribution of radius R₁ centred at the origin O. In this distribution, a spherical cavity of radius R₂, centred at P with distance OP = a = R₁ – R₂ (see figure) is made. If the electric field inside the cavity at position r is E(r), then the correct statement(s) is (are)

A. E is uniform, its magnitude is independent of R2 but its direction depends on r

B. E is uniform, its magnitude depends of R2 but its direction depends on r

C. E is uniform, its magnitude is independent of a but its direction depends on a

D. E is uniform and both its magnitude and direction depend on a

 

Q. 12 In plotting stress versus strain curves for two materials P and Q, a student by mistake puts strain on the y-axis and stress on the x-axis as shown in the figure. Then the correct statement(s) is(are)

A. P has more tensile strength than Q

B. P is more ductile than Q

C. P is more brittle than Q

D. The Young’s modulus of P is more than that of Q

 

Q. 13 A spherical body f radius R consists of a fluid of constant density and is in equilibrium under its own gravity. If P(r) is the pressure at s(r < R), then the correct option(s) is(are) 

A. P(r = 0) = 0

B. P(r = 3R/4) / P(r = 2R/3) = 63/80

C. P(r = 3R/5) / P(r = 2R/5) = 16/21

D. P(r = R/2) / P(r = R/3) = 20/27

 

Q. 14 A parallel plate capacitor having plates of area S and plate separation d, has capacitance C₁ in air. When two dielectrics of different relative permittivities (E₁ = 2 and E₂ = 4) ar introduced between the two plates as shown in the figure, the capacitance becomes C₂. The ratio C₂/C₁ is

A. 6/5

B. 5/3

C. 7/5

D. 7/3

 

Q. 15 An ideal monoatomic gas is confined in a horizontal cylinder by a spring loaded piston (as shown in the figure). Initially the gas is at temperature T₁, pressure P₁ and volume V₁ and the spring is in its relaxed state. The gas is then heated very slowly to temperature T₂, pressure P₂ and volume V₂. During this process the piston moves out by a distance x. Ignoring the friction between the piston and the cylinder, the correct statement(s) is(are) 

A. If V₂ = 2V₁ and T₂ = 3T₁, then the energy stored in the spring is 1/4 P₁V₁

B. If V₂ = 2V₁ and T₂ = 3T₁, then the change in internal energy is 3 P₁V₁

C. If V₂ = 3V₁ and T₂ = 4T₁, then the work done by the gas is 7/3 P₁V₁

D. If V₂ = 3V₁ and T₂ = 4T₁, then the heat supplied to the gas is 17/6 P₁V₁

 

Q. 16  A fission reaction is given, where x and y are two particles. Considering U to be at rest, the kinetic energies of the products are denoted by Kₓₑ, Kₛᵣ, Kₓ(2MeV) and Kᵧ(2MeV), respectively. Le the binding energies per nucleon of U, Xe and Sr be 7.5 MeV, 8.5 MeV and 8.5 MeV, respectively. Considering different conservation laws, the correct option(s) is(are) 

A. x = n, y = n, Kₛᵣ = 129 MeV, Kₓₑ = 86 MeV

B. x = p, y = e⁻, Kₛᵣ = 129 MeV, Kₓₑ = 86 MeV

C. x = p, y = n, Kₛᵣ = 129 MeV, Kₓₑ = 86 MeV

D. x = n, y = n, Kₛᵣ = 86 MeV, Kₓₑ = 129 MeV

 

Questions: 17 – 18 

In a thin rectangular metallic strip a constant current I flows along the positive xdirection, as shown in the figure. The length, width and thickness of the strip are

I, w and d, respectively.

A uniform magnetic field B is applied on the strip along the positive y-direction. Due to this, the charge carriers experience a net deflection along the z-direction. This results in accumulation of charge carriers on the surface PQRS and appearance of equal and opposite charges on the face opposite to PQRS. A potential difference along the z-direction is thus developed. Charge accumulation continues until the magnetic force is balanced by the electric force. The current is assumed to be uniformly distributed on the cross section of the strip and carried by electrons.

Q. 17 Consider two different metallic strips (1 and 2) of the same material. Their lengths are the same, widths are w₁ and w₂ and thicknesses are d₁ and d₂ respectively. Two points K and M are symmetrically located on the opposite faces parallel to the x-y plane (see figure). V₁ and V₂ are the potential differences between K and M in strips 1 and 2, respectively. Then, for a given current I flowing through them in a given magnetic field strength B, the correct statement(s) is(are)

A. If w₁ = w₂ and d₁= 2d₂ , then V₂ = 2V₁

B. If w₁ = w₂ and d₁= 2d₂ , then V₂ =V₁

C. If w₁ = 2w₂ and d₁= d₂ , then V₂ = 2V₁

D. If w₁ = 2w₂ and d₁ =d₂ , then V₂ = V₁

 

Q. 18 Consider two different metallic strips (1 and 2) of same dimensions (length l, width w and thickness d) with carrier densities n₁ and n₂, respectively. Strip 1 is placed in magnetic field B₁ and strip 2 is placed in magnetic field B₂, both along positive y-directions. Then V₁ and V₂ are the potential differences developed between K and M in strips 1 and 2, respectively. Assuming that the current I is the same for both the strips, the correct option(s) is(are)

A. If B₁ = B₂ and n₁ = 2n₂ , then V₂ = 2V₁

B. If B₁ = B₂ and n₁ = 2n₂ , then V₂ =V₁

C. If B₁ = 2B₂ and n₁ = n₂ , then V₂ = 0.5V₁

D. If B₁ = 2B₂ and n₁ =n₂ , then V₂ = V₁

 

Questions: 19 – 20

Light guidance in an optical fiber can be understood by considering a structure comprising of thin solid glass cylinder of refractive index n₁ surrounded by a medium of lower refractive index n₂. The light guidance in the structure takes place due to successive total internal reflections at the interface of the media n₁ and n₂ as shown in the figure. All rays with the angle of incidence i less than a particular value iₘ are confined in the medium of refractive index n₁. The numerical aperture (NA) of the structure is defined as sin iₘ. 

Q. 19 For two structures namely S₁ with n₁ = √45/4 and n₂ = 3/2, and S₂ with n₁ = 8/5 and n₂ = 7/5 and taking the refractive index of water to be 4.3 and that of air to be I, the correct option(s) is (are)

A. NA of S₁ immersed in water is the same as that of S₂ immersed in a liquid of refractive index 16/3√15

B. NA of S₁ immersed in liquid of refractive index 6/√15 is the same as that of S₂ immersed in water

C. NA of S₁ placed in air is the same as that of S₂ immersed in liquid of refractive index 4/ √15

D. NA of S₁ placed in air is the same as that of S₂ placed in water

 

Q. 20 If two structures of same cross-sectional area, but different numerical apertures NA₁ and NA₂ (NA₂ < NA₁) are joined longitudinally, the numerical aperture of the combined structure is

A. NA₁NA₂/NA₁+NA₂

B. NA₁ + NA₂

C. NA₁

D. NA₂

 

Q. 21 The number of hydroxyl group(s) in Q is

 

Q. 22 Among the following the number of reaction(s) that produce(s) benzaldehyde is

 

Q. 23 In the complex acetylbromidodicarbonylbis(triethylphosphine)iron(II), the number of Fe-C bond(s) is

 

Q. 24 Among the complex ions, [Co(NH₂-CH₂-CH₂-CH₂-NH₂)₂Cl₂]⁺, [CrCl₂(C₂O₄)₂]³⁻,

[Fe(H₂O)₄(OH)₂]⁺, [Fe(NH₃)₂(CN)₄]⁻, [Co(NH₂-CH₂-CH₂-NH₂)₂(NH₃)Cl]²⁺ and [Co(NH₃)₄(H₂O)Cl]²⁺, the number of complex ion(s) that show(s) cis-trans isomerism is 

 

Q. 25 Three moles of B₂H₆ are completely reacted with methanol. Th number of moles of boroncontaining product formed is

 

Q. 26 The molar conductivity of a solution of a weak acid HX (0.01 M) is 10 times smaller than the molar conductivity of a solution of weal acid HY (0.10 M). If the given condition is satisfied, the difference in pKa values, ₚKₐ(HX) – ₚKₐ(HY), is (consider the degree of ionization of both acids to be <<1)

 

Q. 27 The closed vessel with rigid walls contains 1 mol of U and 1 mol of air at 298 K. Considering complete decay of U to Pb, the ratio of the final pressure to the initial pressure of the system of 298 K is

 

Q. 28 In dilute aqueous H₂SO₄, the complec diaquodioxalatoferrate(II) is oxidized by MnO₄⁻. For this reaction, the ratio of the rate of change of H⁺ to the rate of change of [MnO₄⁻] is

Q. 29 In the following reactions, the product S is

A. (A)

B. (B)

C. (C)

D. (D)

 

Q. 30 The major product U in the following reactions is

A. (A)

B. (B)

C. (C)

D. (D)

 

Q. 31 In the following reactions, the major product W is

A. (A)

B. (B)

C. (C)

D. (D)

 

Q. 32 The correct statement(s) regarding, (i) HClO, (ii) HClO₂, (iii) HClO₃ and (iv) HClO₄, is (are) 

A. The number of Cl=O bonds in (ii) and (iii) together is two

B. The number of lone pairs of electrons on Cl in (ii) and (iii) together is three

C. The hybridization of Cl in (iv) is sp³

D. Amongst (i) to (iv), the strongest acid is (i)

 

Q. 33 The pair(s) of ions where BOTH the ions are precipitated upon passing H₂S gas in presence of dilute HCl, is (are)

A. Ba²⁺, Zn²⁺

B. Bi³⁺, Fe³⁺

C. Cu²⁺, Pb²⁺

D. Hg²⁺, Bi³⁺

 

Q. 34 Under hydrolytic conditions, the compounds used for preparation of linear polymer and for chain termination, respectively, are

A. CH₃SiCl₃ and Si(CH₃)₄

B. (CH₃)₂SiCl₂ and (CH₃)₃SiCl

C. (CH₃)₂SiCl₂ and CH₃SiCl₃

D. SiCl₄ and (CH₃)₃SiCl

 

Q. 35 When O₂ is adsorbed on a metallic surface, electron transfer occurs from the metal to O₂. The TRUE statement(s) regarding this adsorption is(are)

A. O₂ is physisorbed

B. heat is released

C. occupancy of pi2p of O₂ is increased

D. bond length of π₂ₚ of O₂ is increased

 

Q. 36 One mole of a monoatomic real gas satisfies the equation p(V – b) = RT where b is a constant. The relationship of interatomic potential V(r) and interatomic distance r for the gas is given by

A. (A)

B. (B)

C. (C)

D. (D)

 

Question 37

In the given reactions

 

Q. 37 In the given reactions Compound X is

  2

  3

  4

A. (A)

B. (B)

C. (C)

D. (D)

 

Q. 38 The major compound Y is

A. (A)

B. (B)

C. (C)

D. (D)

 

Questions: 39 – 40

When 100 mL of 1.0 M HCl was mixed with 100 mL of 1.0 M NaOH in an insulated beaker at constant pressure, a temperature increase of 5.7 degrees C was measured for the beaker and its contents (Expt. 1). Because the enthalpy of neutralization of a strong acid with a strong base is a constant (-57.9 kJ mol⁻¹), this experiment could be used to measure the calorimeter constant. In a second experiment (Expt. 2), 100 mL of 2.0 M acetic acid (Ka = 2.0 x 10⁻⁵) was mixed with 100 mL of 1.0 mL MaOH (under identical conditions to Expt. 1) where a temperature rise of 5.6 degrees C was measured. (Consider heat capacity of all solutions as 4.2 J g⁻¹ K⁻¹ and density of all solutions as 1.0 g mL⁻¹)

Q. 39 Enthalpy of dissociation (in kJ mol⁻¹) of acetic acid obtained from the Expt. 2 is

A. 1.0

B. 10.0

C. 24.5

D. 51.4

 

Q. 40 The pH of the solution after Expt. 2 is

A. 2.8

B. 4.7

C. 5.0

D. 7.0

 

Q. 41 For any integer k, let aₖ = cos(kπ/7) + i sin(kπ/7), where i = √-1. The value of the given expression is

 

Q. 42 Suppose that all the terms of an arithmetic progression (A.P.) are natural numbers. If the ratio of the sum of the first seven terms to the sum of the firs eleven terms is 6:11 and the seventh term lies in between 130 and 140, then the common difference of this A.P. is

 

Q. 43 The coefficient of x⁹ in the (1+x)(1+x³)…(1+x¹⁰⁰) is

 

Q. 44 Suppose that the foci of the ellipse x²/9 + y²/5 = 1 are (f₁, 0) and (f₂, 0) where f₁>0 and f₂<0. Let P₁ and P₂ be two parabolas with a common vertex at (0, 0) and with foci at (f₁, 0) and (2f₂, 0), respectively. Let T₁ be a tangent to P₁ which passes through (2f₂, 0) and (T₂ be a tangent to P₂ which passes through (f₁, 0). If m1 is the slope of T₁ and m₂ is the slope of T₂, then the value of (1/m₁² + m₂²) is

 

Q. 45 Let m and n be two positive integers greater than 1, then the value of m/n is

 

Q. 46 Find the value:

If

=01(e9x+3tan-1x)12 + 9×21 + x2dx

where tan-1x takes only principal values, then the value of loge1 + -34is

 

Q. 47 Let R —> R be a continuous odd function, which vanishes exactly at one point and f(1) = 1/2. F(x) is given for all x is element of [-1, 2] and G(x) is given for all x is element of [-1,2]. Find the value of f(1/2) from the given data.

 

Q. 48 Suppose that p, q and r are three non-coplanar vectors in R³. Let the components of a vector s along p, q and r be 4, 3 and 5, respectively. If the components of this vector s along (-p+q+r), (p-q+r) and (-p-q+r) are x, y and z, respectively, then the value of 2x+y+z is

 

Q. 49 Let S be the set of all non-zero real numbers a such that the quadratic equation ax² – x + a = 0 has two distinct real roots x₁ and x₂ satisfying the inequality |x₁ – x₂| < 1. Which of the following intervals is (are) a subset(s) of S?

A. (-1/2, -1/√5)

B. (-1/√5, 0)

C. (0, 1/√5)

D. (1/√5 , 1/2)

 

Q. 50 If a = 3sin⁻¹(6/11) and b = 3cos⁻¹ (4/9), where the inverse trigonometric functions take only the principal values, then the correct option(s) is (are)

A. cosβ > 0

B. sinβ < 0

C. cos(α +β) > 0

D. cosα < 0

 

Q. 51 Let E₁ and E₂ be two ellipses whose centres are at the origin. The major axes of E₁ and E₂ lie along the x-axis and the y-axis, respectively. Let S be the circle x² + (y-1)² = 2. The straight line x + y = 3 touches the curves S, E₁ and E₂ at P, Q and R, respectively. Suppose that PQ = PR = 2√2/3. If e₁ and e₂ are the eccentricities of E₁ and E₂, respectively, then the correct expression(s) is(are)

A. e₁² + e₂² = 43/40

B. e₁e₂ = √7/2√10

C. |e₁² – e₂²| = 5/8

D. e₁e₂ = √3/4

 

Q. 52 Consider the hyperbola H : x² – y² = 1 and a circle S with center N(x₂, 0). Suppose that H and S touch each other at a point P(x₁, y₁) with x₁>1 and y₁>0. The common tangent to H and S at P intersects the x-axis at point M. If (l, m) is the centroid of the triangle PMN, then the correct expression(s) is(are)

A. dl/d₁ = 1 – 1/3x₁² for x₁ > 1

B. dm/dx₁ = x₁/3√(x²-1) for x₁ > 1

C. dl/dx₁ = 1 + 1/3x₁² for x₁ > 1

D. dm/dy₁ = 1/3 for y₁ > 0

 

Q. 53 The option(s) with the values of a and L that satisfy the given equation is (are)

A. a = 2, L = [(e^4pi) – 1]/[(e^pi) – 1]

B. a = 2, L = [(e^4pi) + 1]/[(e^pi) + 1]

C. a = 4, L = [(e^4pi) – 1]/[(e^pi) – 1]

D. a = 4, L = [(e^4pi) + 1]/[(e^pi) + 1]

 

Q. 54 Let f, g : [-1, 2] —-> R be continuous functions which are twice differentiable on the interval (-1, 2). Let the values of f and g at the points -1, 0 and 2 be as given in the table. In each of the intervals (-1, 0) and (0, 2) the function (f – 3g)” never vanishes. Then the correct statement(s) is(are)

 

x=-1 x= 0  x=2
f(x) 3 6 0
g(x) 0 1 -1

 

A. f'(x) – 3g'(x) = 0 has exactly three solutions in (-1, 0)U(0, 2)

B. f'(x) – 3g'(x) = 0 has exactly one solution in (-1, 0)

C. f'(x) – 3g'(x) = 0 has exactly one solution in (0, 2)

D. f'(x) – 3g'(x) = 0 has exactly two solutions in (-1, 0) and exactly two solutions in (0,2)

 

Q. 55 Let f(x) = 7tan⁸x + 7tan⁶x – 3tan⁴x – 3tan²x for all x is element of (-π/2, π/2). Then the correct expression(s) is(are)

A. (A)

B. (B)

C. (C)

D. (D)

 

Q. 56 Let f'(x) = 192x³/2+sin⁴πx for all x is a real number with f(1/2) = 0. If the given condition is satisfied, then the possible values of m and M are 

m1/21f(x) dx M

A. m = 13, M = 24

B. m = 1/4, M = 1/2

C. m = -11, M = 0

D. m = 1, M = 12

 

Questions: 57 – 58

Let n₁ and n₂ be the number of red and black balls, respectively, in box I. Let n₃ and n₄ be the number of red and black balls, respectively, in box II. 

Q. 57 One of the two boxes, box I and box II, was selected at random and a ball was drawn randomly out of this box. The ball was found to be red. If the probability that this red ball was drawn from box II is 1/3, then the correct option(s) with the possible values of n₁, n₂, n₃ and n₄ is (are)

A. n₁ = 3, n₂ = 3, n₃ = 5, n₄ = 15

B. n₁ = 3, n₂ = 6, n₃ = 10, n₄ = 50

C. n₁ = 8, n₂ = 6, n₃ = 5, n₄ = 20

D. n₁ = 6, n₂ = 12, n₃ = 5, n₄ = 20

 

Q. 58 A ball is drawn at random from box I and transferred to box II. If the probability of drawing a red ball from box I, after this transfer is 1/3, then the correct option(s) with the possible values of n₁ and n₂ is (are)

A. n₁ = 4 and n₂ = 6

B. n₁ = 2 and n₂ = 3

C. n₁ = 10 and n₂ = 20

D. n₁ = 3 and n₂ = 6

 

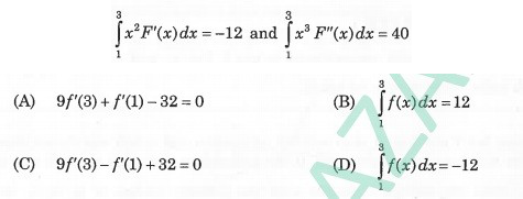
Q. 59 Let F: R —> R be a thrice differentiable function. Suppose that F(1) = 0, F(3) = -4 and F'(x) < 0 for all x is element of (1/2, 3). Let f(x) = xF(x) for all x is element of R. The correct statement(s) is(are)

A. f'(1) < 0

B. f(2) < 0

C. f'(x) is not equal to 0 for any x is element of (1, 3)

D. f'(x) = 0 for some x is element of (1, 3)

 

Q. 60 Let F: R —> R be a thrice differentiable function. Suppose that F(1) = 0, F(3) = -4 and F'(x) < 0 for all x is element of (1/2, 3). Let f(x) = xF(x) for all x is element of R. Using the given data, the correct expression(s) is (are)

A. 9f'(3) + f'(1) – 32 = 0

B. (B)

C. 9f'(3) – f'(1) + 32 = 0

D. (D)

Answer Sheet 
Question 1 2 3 4 5 6 7 8 9 10
Answer 7 4 6 3 2 2 1 2 AD AC
Question 11 12 13 14 15 16 17 18 19 20
Answer D AB BC D ABC A D C C D
Question 21 22 23 24 25 26 27 28 29 30
Answer 4 4 3 6 6 3 9 8 A B
Question 31 32 33 34 35 36 37 38 39 40
Answer A BC CD B BCD C C D A B
Question 41 42 43 44 45 46 47 48 49 50
Answer 4 9 8 4 2 9 7 9 AD BCD
Question 51 52 53 54 55 56 57 58 59 60
Answer AB ABD AC BC AB D B D ABC CD

Leave a Reply

×

Hello!

Click one of our representatives below to chat on WhatsApp or send us an email to info@vidhyarthidarpan.com

×